Sirds!!!

13. jan 2011. 20:26

Visu ko jaunība mīl,
Pie sirds tā sasildīt var,
Visu, ko jaunība nīst,
Ar sirdi var-
Sadedzināt!

Ojārs Vācietis

Atslegas vārdi: Mīlestība34035, Dzīve38631, Attiecības38723

Komentēt var tikai autorizēti lietotāji

Komentāri (3)

Dzēsts profils 13. jan 2011. 23:35

Ārija x. 13. jan 2011. 20:52

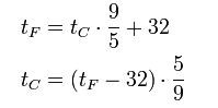
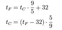
Super!   Šito jānoraksta - kā tās temperatūras no Fārenheita skalas uz Celsija skalu un atpakaļ var sarēķināt! Kādreiz zināju, bet aizmirsās, un nekādi nevarēju izštukot vairs!  

Dzēsts profils 13. jan 2011. 20:30

Autorizācija

Ienākt